ΔE*ab色差公式和ΔE*cmc色差公式是色差儀常用的兩個色差公式,這兩個色差公式都是基于CIElab顏色空間的色差公式,且ΔE*cmc色差公式是在ΔE*ab色差公式的基礎上發展起來的一個色差公式。本文對ΔE*ab色差公式和ΔE*cmc色差公式區別作了介紹。

色差儀ΔE*ab色差公式介紹:
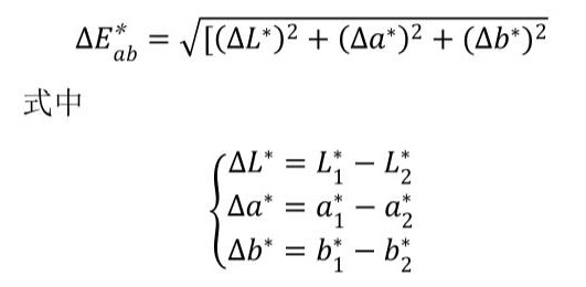
ΔE*ab色差公式是色差儀中目前使用最為廣泛的一個色差公式,該色差公式建立在CIELab顏色空間之上的,由直角坐標L*、a*、b*構成。L表示心理明度;a、b表示心理色度。在CIELAB顏色空間中,兩個顏色樣本(L1,a1,b1)和(L2,a2,b2)之間的色差可以用歐式距離來計算:

其中ΔL*、Δa*、△b*分別是CIELab顏色空間的三個坐標差值。如果CIELab空間是視覺均勻的,其對應的視覺寬容度在該顏色空間中應當是一個圓球形,并且在顏色空間的各個區域都應具有相同的半徑。但是由于CIELab顏色空間并不是均勻的,因此應該用橢球來表示各顏色區域所對應的視覺寬容度更為合適。雖然對于中小色差的預測性能,CIELab色差公式不甚理想,但相對于其后的一些色差公式而言,其公式比較簡單易算,并且對大色差尚有較好的預測性能,因此在現今工業生產中仍被廣泛采用。
色差儀ΔE*cmc色差公式:
ΔE*cmc色差公式在修正ΔE*ab色差公式的基礎上,根據視覺關系調整了每個色調方向的色差橢圓大小和形狀;改善了彩度差變化與明度之間的關系,使不同彩度的顏色具有不同的色差容限。非彩色區域附近的橢圓較小,彩度高的橢圓較大,色差容限與彩度的變化成正比。它引入了明度權重因子l彩度權重因子c,能夠解決暗色和中性色區域的色差結果計算與人眼測量結果相差較大的問題,適應不同的色差需求。
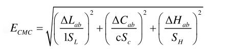
ΔE*cmc公式定義視覺特性為橢圓,橢圓內部所表示的顏色與標準色在視覺特性上表示一致,橢圓外部所表示的顏色則不一樣。用橢圓方程定義的色差公式如下所示:

上式中,△L*、△C*、△H*三個參數分別代表明度差、彩度差和色相差,下標為std的代表標準樣本。SL、SC、SH橢圓的半軸,l是明度權重因子,c是彩度權重因子,通過改變l,c因子改變相對橢圓半軸的長度來控制色差范圍,對于可接受色差取l=2,c=1。
由于ΔE*cmc色差公式與人眼視覺特性一致,因此獨立于顏色區域的“單一閾值”可用于對不同的顏色質量控制,為顏色測量和色差評估帶來極大的方便。
ΔE*ab色差公式和ΔE*cmc色差公式的區別:
△ECMC(l:c)色差公式改進了CIELAB顏色空間的目視均勻性。通過修正CIE1976L*a*b*色差公式,CMC(l:c)色差公式使各色調方向的色差橢圓大小可根據視覺的關系進行改變,比如在紅色區域的橢圓比較瘦長,在綠色區域則比較圓;同時它改善了飽和度差隨明度的變化關系,將飽和度不同的顏色賦以不同的色差容限,色差容限隨飽和度的增加而變大,反之則減小。CMC(l:c)視覺容差橢圓如下圖所示:

可以通過容差橢圓圖形化的方法來判定CMC(1:c)色差公式中的視覺容差。在該公式中,人眼對顏色三個屬性敏感程度的差別分別用SH、SL、SC來加權修正。由SH、SL、SC為半軸定義的橢球是顏色的容差范圍,上圖中0代表標樣的坐標,即橢球的球心。在顏色空間的不同區域,依據具體的顏色值計算色差公式中的加權系數,進而計算色差,它可以實現與目視評定色差最接近的結果。如下圖所示:

CMC(l:c)色差公式改進了CIELAB顏色空間的目視均勻性,用單一容差數值就可以裁定色匹配的可接受性,且該容差與標樣的顏色無關。用橢球三半軸(CIELAB明度容差ΔL*、彩度容差△C*ab和色調容差ΔH*ab)加權(lXSC、CXSC和SH)導出的色差ΔEcmc(l:c)還可以區分不同情況用以解釋其三個獨立分量:明度分量ΔL*cmc=ΔL*/lxSL,彩度分量ΔC*cmc=△C*ab/CXSC和色調分量Δ*cmc=ΔH*ab/SH。
鄭重聲明:本文版權歸原作者所有,轉載文章僅為傳播更多信息之目的,如作者信息標記有誤,請第一時間聯系我們修改或刪除,多謝。



