色差儀作為測色工具,可以在特定的顏色空間下給出樣品的色度值和色差值。但是在測色的過程中,如果顏色空間的選擇不正確,有時就會導致測色結果存在差異。本文對色差儀測色中幾個易混淆的顏色空間做了介紹。

色差儀CIELab和HunterLab顏色空間:
CIELab顏色空間是分光測色儀最常用的一種顏色空間,是基于生理特征的均勻顏色空間,是由明度(L)和兩個色度分量a、b共三個分量構成,L表示顏色的明度,也常被稱作亮度,取值范圍在[0,100],表示從純黑到純白。a表示從綠色到紅色,-a最小表示綠色,+a最大表示紅色,取值范圍在[-128,127],-a到+a是綠色到紅色顏色漸變的過程。b表示從藍色到黃色的范圍,同樣原理,-b到+b是由藍色逐漸過渡到黃色的過程,取值范圍在[-128,127]。CIELab顏色空間是顏色量化最均勻的顏色分布,在樣品色差評比系統中,很多公式都是依賴該顏色空間的,它是顏色差異的規范化空間,能夠解決顏色量化的等距度量,其均勻性較好。該顏色空間兩點之間的幾何距離,與人眼觀察物體的色差大小相同。
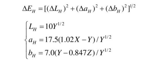
Hunter Lab系統分別以L、a、b 表示物體反射光的三個量,其中L表示反射光的明度,a表示反射光中紅色與綠色的成分,b表示反射光中黃色與藍色的成分。該系統的L,a,b值的表示及其色差公式為:

式中 X,Y,Z 為樣品的三刺激值。Hunter Lab系統常用于陶瓷工業、塑料工業和紡織工業。
CIEL*a*b*(CIELAB)是慣常用來描述人眼可見的所有顏色的最完備的色彩模型。L、a和b后面的星號(*)是全名的一部分,因為它們表示L*、a*和b*。Lab指的是Hunter Lab,它是建立在顏色對立理論基礎上的三維直角坐標系,是不帶星號的,不同于L*、a*和b*。這兩種表色系統都是建立在顏色對立理論基礎上的,應用都比較廣泛,區分這兩種表色系統還是很有必要的。
1.Hunter Lab和CIELAB顏色體系的計算公式不同,雖然都是由X、Y、Z經數學計算而來,但是色度量的取值不同。
2.這兩個色度空間與視覺感官的均勻性都存在差異。比如雖然CIELAB色空間是CIE推薦的均勻顏色空間,而實際上CIELAB空間對于人眼的色彩感覺來說也還是不均勻的。即在不同顏色區域,色彩的寬容量數值是不相等的。
色差儀CIELab和CIELUV顏色空間:
CIELab顏色空間上文已做介紹,這里不做介紹,只介紹CIELUV顏色空間。CIELUV顏色空間是CIE1976L*u*v*均勻顏色空間的簡稱,在CIELUV空間中,L*為明度,u*、v*為色品指數。三者相互垂直構成色空間來描述相對應的亮度和色度量:垂直的軸是明度L*,位于水平面且互相垂直的是色品指數u*和 v*。
CIELUV顏色空間與CIELAB顏色空間相似,L*,u*,v*是X,Y,Z通過非線性變換得到的,同樣用兩點間的距離表示顏色之間的色差。
CIE1976Lab均勻顏色空間是CIE1931標準色度學系統的非線性變換,它將XYZ直角坐標顏色空間轉換為柱面極坐標,將三刺激值XYZ轉換成與眼睛視覺相一致的明度L*和色度a*、b*,其中a*、b*與色調、飽和度的感覺相一致。CIE1976L*a*b*的優點是當顏色的色差大于視覺的識別閾限(恰可察覺)而又小于孟塞爾系統中相鄰兩級的色差值時,能較好地反映物體色的心理感受效果。
CIE1976L*u*v*均勻顏色空間實際上由CIE1931和CIE1964勻色空間改進而來,使其與代表視覺等間隔的孟塞爾系統靠攏,并將V坐標增加50%而改善U、V色度圖的均勻性。
CIE1976Luv和CIE1976Lab色空間都有較好的均勻性,兩者都較廣泛地運用于工業中。由于CIE1976Luv系統中,uv色度圖仍保留了馬蹄形的光譜軌跡,較適合于對光源色、彩色電視等工業部門做研究工具;CIE1976Lab主要用于印刷、染料、顏料及油墨等表面顏色工業部門。
色差儀XYZ和Yxy顏色空間:
CIEXYZ顏色空間,也稱CIE1931顏色空間。CIE希望通過該顏色空間下的三個分量(X,Y,Z)能夠描述人顏色視覺系統所能察覺的任意一種顏色,其中X和Z定義為顏色的色度,Y為顏色的亮度。
CIEXYZ顏色空間主要應用于分光光度計和數字顏色分析器等分析儀器,它為這一類儀器提供了待分析樣本所需的透射或折射的三色光信號。雖然 CIEXYZ顏色空間在分析化學中的相關應用也頗為廣泛,但是它所表示的顏色與人眼感知不太一致,導致在不同顏色對比中存在一定缺陷。因此,該顏色模型往往只是用于線性轉換到其他顏色空間的過渡顏色空間。
三刺激值XYZ對定義顏色非常有用,但卻不易直接目視其結果,為此CIE于1931年規定了Yxy色空間,它是在二維圖上描述顏色,但與亮度無關。Y為物體的反射比,用%數表示(與反射比為100%的理想漫反射相比較)。它對應于顏色三要素的明度其值就等于三刺激值的Y值。色度坐標x、y對應于色三要素的色調和彩度。x、y色度坐標可由下式算得:x=X/(X+Y+Z)y=Y/(X+Y+Z)
(其中X、Y、Z為三刺激值)X軸色度坐標相當于紅基色的比例;Y軸色度坐標相當于綠基色的比例,圖中沒有Z軸色度坐標(即藍基色所占的比例)。因為比例系數x+y+z=1,Z的坐標值可以推算出來,即z=1-x-y。
鄭重聲明:本文版權歸原作者所有,轉載文章僅為傳播更多信息之目的,如作者信息標記有誤,請第一時間聯系我們修改或刪除,多謝。



