色差儀作為顏色檢測的光電儀器,其在測量物體顏色時,會給出特定顏色空間下兩個樣品之間的顏色差異值,即色差△E。那么,色差△E什么意思?色差△E值怎么計算?本文對色差△E的含義及計算方法做了簡要介紹,對此感興趣的朋友可以了解一下!

色差△E什么意思?
在顏色測量過程中,采用數據來表達物體色的性質后,在很多情況下還會涉及到兩個及兩個以上物體色的比較。在適當的照明和觀測條件下,如果兩個樣品具有相同的三刺激值,對于適當的觀察者來說它們是一種理想的匹配;若三刺激值不盡相同則它們不匹配,并且整個差異將近似于它們之間能感覺出的顏色差異。
色差用△E表示,△表示差異,E是德語單詞Empfindung的第一個字母,含義是感覺。色差的單位是NBS,它是美國國家標準局(National Bureau of Standards)制定的,現為各國普遍采用。當△E=1時稱為1個NBS色差單位,1NBS色差單位大約相當于在最優試驗條件下人眼所能感覺到的最小色差的5倍。在CIE色度圖中,1NBS色差單位相當于 0.0015~0.0025x或y的色度坐標變化。在孟塞爾色系中,一個孟塞爾明度單位等于10個NBS色差單位,1個孟塞爾飽和度單位等于7個NBS色差單位。
下表表示NBS單位及在色差視覺上的顯著程度。

色差△E值計算方法:
從CIE1931RGB系統到CIE1931XYZ系統,再到CIE1960UCS系統,最后到CIE1976LAB系統,一直都在向“均勻化”方向發展。CIE1931XYZ顏色空間只是采用簡單的數學比例方法,描繪所要匹配顏色的三刺激值的比例關系,CIE1960UCS顏色空間將1931xy色度圖作了線形變換,從而使顏色空間的均勻性得到了改善,但亮度因數沒有均勻化。
為了進一步改進和統一顏色評價的方法,1976年CIE推薦了新的顏色空間及其有關色差公式,即CIE1976(L*a*b*)空間,簡稱CIELAB,現在己被世界各國正式采納并成為國際通用的測色標準。它適用于一切光源色或物體色的表示與計算。
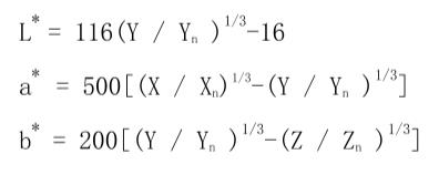
CIE1976(L*a*b*)均勻顏色空間是CIE1931標準色度學系統的非線性變換,它將XYZ直角坐標顏色空間轉換為柱面極坐標,將三刺激值XYZ轉換成與眼睛視覺相一致的明度L*和色度a*、b*其中a*、b*與色調、飽和度的感覺相一致。明度L*和色度a*、b*是通過顏色的三刺激值計算得到的,計算公式如下:

式中:X,Y,Z分別為物體顏色的三刺激值,Xn、Yn、Zn分別為觀察樣品時使用的照明光源所對應的標準照明體三刺激值。當使用D65照明光源時,Xn=94.81、Yn=100.00、Zn=107.32。

如上圖所示,顏色的明度感覺用坐標軸L*表示,黑色位于最下端對應明度L*=0;白色最亮位于最上端,對應明度L*=100,a*軸與b*軸共同表示彩色的特性:a*軸正方向代表紅色(偏品紅)的變化,a*軸負方向代表綠色的變化;b*軸正方向代表黃色變化,b*軸負方向代表藍色變化。a*與b*的值表示顏色感覺中的彩色成分,當a*與b*的值都為0時,顏色的飽和度為0,即非彩色,其坐標點落到坐標軸L*上。所以,所有的非彩色都位于坐標軸L上,從下到上依次為黑、深灰、灰、淺灰和白。顏色的坐標點距坐標軸L越遠,則顏色就越鮮艷。根據這一性質可以用a*與b*的值進一步計算色調和飽和度,并使其與顏色的感覺更加接近。
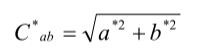
CIELAB均勻顏色空間是由L*、a*、b*構成的三維直角坐標系,如上圖所示,任一個顏色在CIELAB均勻顏色空間中都是一點,顏色的明度值等于該點的L*軸的坐標值,a*與b*坐標值為該點在a*與b*坐標軸上的投影。根據圖中的幾何關系,該顏色的色調H可以用該點在a*-b*平面的投影到坐標原點連線與a*坐標軸的轉角h*ab表示;彩度(或飽和度)C*ab,可以用該點到縱坐標原點的距離來表示。因此,可以得到:
色調角:

彩度:

根據a*與b*值的正負可以判斷色調角在0°~360°內的變化:
若a*>0,b*≥0,則0°≤h*ab<90°;
若a*≤0,b*>0,則90°≤h*ab< 180°;
若 a*<0,b*≤0,則 180° ≤h*ab< 270°;
若 a*≥0,b*<0,則 270°≤h*ab< 360°。
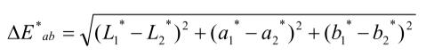
在與顏色感覺一致的均勻顏色空間內,兩個顏色樣品之間的色差表示為其坐標點之間的距離即:

若定義明度差(△L*):△L*=L*1-L*2
紅度-綠都差(△a*):△a*=a*1-a*2
黃度-藍度差(△b*):△b*=b*1-b*2
色差公式的幾何意義,是在均勻顏色空間以標準色樣的坐標點為中心的一個球,其半徑等于色差的值,若規定球內的顏色滿足色差容限的要求,則球外的顏色與標準色樣的色差超出了色差容限范圍,便不滿足色差的要求。總色差還可以分解為明度差△L*ab、色調差△H*ab和彩度差△C*ab等三個感覺分量。
彩度差:

色調差:

色調差數值上等于總色差中減去明度差和彩度差,其符號取決于兩樣品的色調角度差△h*ab,如果△h*ab>0,則△H*ab>0;如果△h*ab<0,則△H*ab<0。
鄭重聲明:本文版權歸原作者所有,轉載文章僅為傳播更多信息之目的,如作者信息標記有誤,請第一時間聯系我們修改或刪除,多謝。



