為了讓顏色的評定具有統一評價的標準,色差儀的內部配置了CIE規定的多個用于顏色評價的顏色空間,其中常見的就有RGB顏色空間和LAB顏色空間。本文對RGB顏色空間與LAB顏色空間的含義及二者之間的轉換關系做了簡要的介紹,對此感興趣的朋友可以了解一下!

色差儀RGB顏色空間:
RGB顏色空間,主要是對人眼感知機理進行分析,并從硬件角度出發提出的顏色空間,是彩色圖像處理中最熟悉、使用最多的顏色空間[30,31],RGB顏色空間,是以紅、綠、藍為基色,其余的顏色通過調整這三種顏色的比例而獲得,該空間也稱為三基色模式。RGB顏色空間是個立方體結構,各種不同的顏色都分布于此內,立方體結構是在笛卡爾坐標系上構建,該坐標系中的xyz軸分別對應表示紅(Red)、綠(Green)、藍(Blue)三種基色,如下圖所示。

在上圖中,設RGB三個分量的值域為[0,1]區間,在該空間里,每個顏色均對應著立方體上的一點。位于坐標軸的原點,三個分量的值都為0,此時對應的是黑色;在立方體中與原點構成對角線的另一點,三個分量的值都為1,對應的是白色,而立方體上除了黑色、白色、紅色、綠色、藍色這些定點外,還有三個定點,剛好是三基色的補色:青色、品紅、黃色。
色差儀Lab顏色空間:
CIELab顏色空間的每個顏色是由L(亮度)、a(表示由紅至綠的色度)顏色、b(表示由黃至藍的色度)顏色三個通道組成的,每個顏色均有其對應的Lab值,如下圖所示。L的值域為[0,100],即純黑到純白;a則指的是由綠色到紅色的光譜變化,為負值時指示綠色而正值時指示紅色;b為藍色到黃色的光譜變化,正為暖色而負為冷色。當顏色的a和b值增大時,顏色點遠離中心,顏色的飽和度增大。

CIELab顏色空間能夠采用數學理論量化,使得不同設備的色彩能夠相互比較、模擬及匹配,同時還實現了顏色的均勻分布,即均勻的顏色空間。均勻的顏色空間使得采用該顏色空間的任何兩種顏色的差異度與這兩種顏色點之間的歐式距離成比例,且當顏色數值均勻變化的同時,人眼的感官也是均勻變化,即該模型的色差與人眼的感官色差相對應。
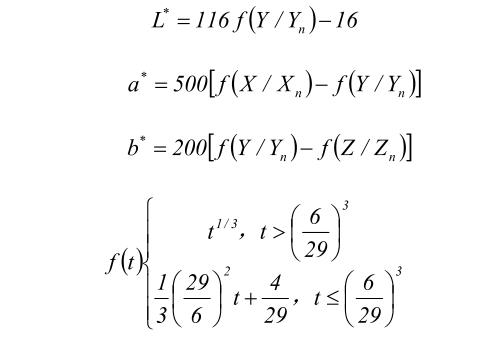
色差儀RGB顏色空間與LAB顏色空間轉換方法:
RBG顏色空間到CIELab顏色空間的轉換分成兩步:
首先,RGB顏色空間先轉到XYZ空間,公式如下所示所示。

X、Y、Z指的是圖像中某像素點的三刺激值,而x,、Y、Z,則是圖像采集時所使用光源對應的標準照明體系的三刺激值,其取值分別為95.04、100,108.89。
然后,再從XYZ空間轉到CIELab空間,公式如下所示。

鄭重聲明:本文版權歸原作者所有,轉載文章僅為傳播更多信息之目的,如作者信息標記有誤,請第一時間聯系我們修改或刪除,多謝。



