什么是顏色空間?顏色空間也稱色彩模型,是一種特定的顏色組織,是對色彩的一種描述方式。色差儀作為顏色檢測的精密儀器,其內部配置了多種用于顏色檢測的顏色空間。本文對色差儀常用顏色空間類型,及不同顏色空間之間的相互轉化,做了簡單的介紹,感興趣的朋友可以了解一下!

什么是顏色空間?
顏色空間也稱色彩模型,是一種特定的顏色組織,是對色彩的一種描述方式。實際應用中常用的顏色空間有RGB、CMY、HSV、HSI等,其中RGB顏色空間主要面向硬件設備,如彩色顯示器、打印機等;CMY顏色空間廣泛應用于工業印刷行業;HSI顏色空間和HSV顏色空間主要面向彩色處理為目的的應用。此外,國際照明委員會于1931年開發的CIEXYZ顏色空間是一個非常重要的基色空間,它是CIE系列顏色系統的基礎,但CIEXYZ顏色空間使用比較復雜且不夠直觀。于是,CIE在1976年推薦了兩個均勻顏色空間,CIELUV顏色空間和CIELAB顏色空間。
所謂顏色空間的均勻性,是指當兩個或兩個以上顏色相互進行色差測量時,如果存在色差,其色差大小應與人眼所感受到的差別相一致,也就是說度量值較小時,目視色差感覺就較小,反之則較大。
色差儀常用顏色空間類型:
1.RGB顏色空間
色彩混合的基本定律表明:自然界中任何一種色彩均可用紅(Red)、綠(Green)、藍(Blue)三種原色光混合產生,這在幾何上能夠以R、G、B三個互相垂直的軸所構成的空間坐標系統來表示,稱為RGB顏色空間。
RGB顏色空間是由六塊色片所包圍的立方體區域構成的,如下圖所示,其內部的每一個點都代表著一種不同的顏色。每一點的顏色均由R、G、B三個通道中的灰度值所決定,每個通道中的灰度值為0~255,共256個,當三個通道共同作用時,就有256x256×256種組合,形成167.7萬多種顏色。在數字圖像中,改變像素在通道的灰度值,就可以改變像素的顏色。立方體的八個頂點分別是:紅、綠、藍、青、洋紅、黃、黑、白。立方體對角線的兩端,分別對應著互補色,紅-青,綠-洋紅,藍-黃,黑-白。當R=G=B時,圖像的像素顏色就在黑白之間漸變,R=G=B=0時,像素最黑,R=G=G=255時,像素最白,R、G、B不全相等時,像素就是有色的。

RGB顏色空間主要是面向硬件的模型,最常用的用途就是顯示器系統和掃描儀。由于不同型號的顯示器顯示同一圖像時會有不同的色彩呈現效果;不同型號的掃描儀掃描相同圖像時,也會得到不同的彩色圖像數據。因此,RGB顏色空間被稱為與設備相關的顏色空間。
2.CIEXYZ 顏色空間
為了從基色出發定義一種與設備無關的顏色模型,CIE的顏色科學家在RGB模型的基礎上,用數學方法從真實的基色推導出理想的三基色,創建了一種新的顏色系統,使得印染相關行業能夠明確指定產品的顏色[32]。CIEXYZ顏色空間是其他CIE系列顏色空間的基礎,它選用相應于R、G、B三原色的三個理想原色作為三基色,其他所有顏色都由這三種顏色導出,通過相加混色或者相減混色,任意色調可應用不同量的基色混合產生。與RGB顏色空間相比,X、Y、Z的值都是正的,更適用于顏色計算。CIEXYZ顏色空間模型如下圖所示。

CIEXYZ顏色空間的一個主要問題在于目測評估方面的不均勻性。也就是說在樣品對之間感知顏色的同等差異不對應于三刺激值的同等差異。CIEXYZ顏色空間的視覺非均勻性也帶來一些不良后果,例如肉眼剛好能察覺到色度不同的兩種綠色所給出的三刺激值之差,要比已經調整到與此對綠色有相同色差的兩種紅色或藍色樣品的三刺激值之差大得多。說明在CIEXYZ顏色空間中,單一的顏色容限用于所有的色調是不可能的。
3. CIELAB 顏色空間
CIELAB 顏色空間是CIE于1976年推薦使用的,其克服了顏色空間不均勻的問題,目前它是一個在顏色和色差表述領域非常流行的顏色體系,在工業界得到廣泛應用,特別是在紡織印染、涂料制造、塑料著色等行業的產品顏色質量控制中占有重要地位。其顏色空間模型如下圖所示。

CIELAB顏色空間模型由L*、a*和b*三個分量組成,L*值是對顏色明度的度量,數值在0(絕對黑)到100(絕對白)之間變動,a*和b*表示顏色對立維度,其中a*值是對顏色紅-綠特性的度量,取值范圍在[127,-128]之間,紅色調為正值,綠色調為負值;而b*值是顏色的黃-藍特性,取值范圍同樣是[127,-128],黃色調為正值,藍色調為負值。
與RGB顏色空間相比,CIELAB顏色空間是一種基于人眼生理特征的顏色系統,可用數字化的方法表達人眼的視覺感受,并且CIELAB顏色空間分布均勻,兩個顏色坐標點之間的幾何距離,與人眼感知到的物體色差相一致。同時該顏色空間色域更加寬廣,幾乎代表了自然界中所有顏色的編碼,任何顏色在CIELAB空間中都會有一個準確的數值表示。此外,它還是一種與設備無關的顏色空間。綜上所述,將CLELAB 顏色空間應用于織物色差檢測是一個較為理想的選擇。
色差儀不同顏色空間轉換方法:
從上述顏色空間的介紹可知,顏色空間有設備相關和設備不相關之分。在彩色圖像處理過程中,為了實現兩種不同類型顏色模型之間的相互轉換,通常以RGB和CIEXYZ顏色空間作為轉換橋梁。轉換示意圖如圖下圖所示。

從圖中可以看出,以RGB和CIEXYZ兩大基色空間為基礎可以延伸出許多不同的顏色空間,并且分布于設備相關和設備不相關兩大陣營。同時,各分支顏色空間均可與其基色空間完成相互轉換。
由上圖可知,在眾多顏色空間的相互轉換中,從RGB顏色空間到CIELAB顏色空間的轉換在圖像處理中較為常用。從上圖可以看出RGB顏色空間不能直接轉換為CIELAB顏色空間,需要借助CIEXYZ顏色空間。首先把RGB顏色空間轉換到CIEXYZ 顏色空間,之后再把CIEXYZ顏色空間轉換到CIELAB顏色空間。相關轉換公式如下所示:
(1)RGB 轉換至 CIEXYZ

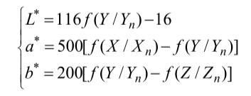
(2)CIEXYZ 轉換至CIELAB

上式中,X、Y、Z表示物體三刺激值;Xn、Yn、Zn表示CIE標準照明體的三刺激值;L*表示心理明度;a*、b*表示心理色度。
鄭重聲明:本文版權歸原作者所有,轉載文章僅為傳播更多信息之目的,如作者信息標記有誤,請第一時間聯系我們修改或刪除,多謝。



