在產品顏色質量管控中,色差是一項重要的管控指標。計算色差首先要選擇標準樣品,然后比較其他樣品與標準樣品的差異,最后通過特定的色差公式將色差量化。那么,色差是怎么計算的?色差的單位怎么表示?本文對色差計算及色差單位表示做了介紹。

色差計算方法之色差公式:
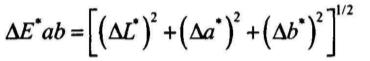
色差是兩種樣品在同樣條件下顏色的差異程度。實驗證明,人眼對于540nm的綠色光譜色區域需要有2~3nm的變化才會有不同顏色的感覺,在可見光譜的兩端,人眼對波長變化的敏感度較差,特別是波長大于655nm與小于430nm的可見光范圍,人眼幾乎不能再分辨出因波長變化而產生的顏色差異。計算色差首先要選擇標準樣品,然后其它的樣品跟標樣的差異就稱為色差。一定的顏色空間肯定有相應的色差公式,下列公式為CIE1976L*a*b*相應的色差公式。

公式中△L*為樣品與標祥明度值的差值。△a*為樣品與標祥紅緑度值的差值。△b*為樣品與標祥黃藍度值的差值。
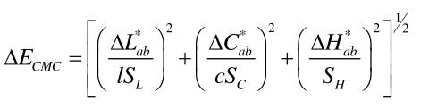
△Ecmc色差公式在兩點上對CIE1976LAB色差公式做了優化,CMC色差公式在原色差公式的每個分量上增加了分母變量,對三種顏色參數增加了權重函數的作用。在不同的顏色區域,人眼對顏色差別的分辨能力不同,為了反映這種特性,增加了調整變量SL、SC和SH,同時還增加了調整因子l和c,便色差公式更均勻。其表達式如下:

公式中l、c調整橢圓半徑的調整因子;SL明度差的校正函數;SC彩度差的校正函數;SH色調差的校正函數。
DE2000是綜合了多種色差公式發展而來的。DE2000公式不僅具有對評價小色差更為理想的明度、彩度、色相加權函數SL、SC和SH以及調整因子KL、KC、KH,還有提高藍色性能的參數RT,是比CMC公式更均勻的色差公式。其表達式如下:

公式中KL、KC、KH調整橢圓半徑的調整因子;SL明度差的校正函數;SC彩度差的校正函數;SH色調差的校正函數;RT為旋轉函數,用來校正藍色區域的色分辨橢圓主軸的方向。△L'、△C'、△H'為樣品與標樣的明度差值、彩度差值和色調差值。
色差的單位怎么表示?
色差的單位是NBS,它是美國國家標準局(National Bureau of Standards)制定的,現為各國普遍采用。當△E=1時稱為1個NBS色差單位,INBS色差單位大約相當于在最優試驗條件下人眼所能知覺的恰可觀察差的5倍。在CIE色度圖中,1NBS色差單位相當于0.0015~0.0025x或y的色度坐標變化。在孟塞爾色系中,一個孟塞爾明度單位等于10個NBS色差單位,1個孟塞爾飽和度單位等于7個NBS色差單位。下表是NBS單位及在色差視覺上的顯著程度。

鄭重聲明:本文版權歸原作者所有,轉載文章僅為傳播更多信息之目的,如作者信息標記有誤,請第一時間聯系我們修改或刪除,多謝。



