色差儀L、a、b、c、h值什么意思?色差儀在進行顏色測量時,是以L、a、b、c、h五個輸出結果作為顏色標尺被感知并測量,但是c和h僅僅作為視覺容差和色彩鮮艷度的一種表達方式。本文對色差儀L、a、b、c、h值的含義及色差值的表示方法做了介紹。

色差儀L、a、b、c、h值的含義:
色差儀主要是根據光學原理,用特定的測色系統進行測定。常用的測色系統為CIEL*a*b*彩色系統,CIEL*a**表色系統,亦稱L*a*b*表色系。Lab色空間就是用L*、a*、b*3個1組的數值來表示任何一種顏色。用色差儀可以測定任何一種顏色的L*、a*、b*值,根據所測的L*、a*、b*值可以判斷不同顏色的差別。另外,色差儀還可以同時測出色C和色調角H°。它們的具體含義如下:
參數L*為顏色的明度值,明度是指色彩的明亮程度。各種有色物體由于它們的反射光量的區別而產生顏色的明暗強弱。色彩的明度有兩種情況:一是同一色相不同明度。如同一顏色在強光照射下顯得明亮,弱光照射下顯得較灰暗模糊;二是各種顏色的純色明度不同。每一種純色都有與其相應的明度,如黃色明度最高,藍紫色明度最低,紅、綠色為中間明度。明度值在(0,100)區間內變化L*=0指示黑色,L*=100指示白色,越靠近100 表示越明亮。
a通道顯示的顏色范圍是:綠色-50%灰(中性灰)-紅色。在這個通道的灰度圖中,暗調部分,即小于50%灰(色階值為128)表示綠色。而且在灰度圖中顏色越暗,即越低于50%灰,綠色的飽和度就越高;顏色灰度值越接近50%灰,綠色的飽和度就越低。同時,亮調部分,即大于50%灰(色階值為128)表示紅色。顏色越亮,紅色飽和度越高,反之,越接近50%灰,紅色的飽和度越低。
b通道顯示的顏色范圍是:藍色——50%灰(中性灰)——黃色,在這個通道的灰度圖中,暗調部分,即小于50%灰(色階值為128)表示藍色。而且在灰度圖中顏色越暗,即越低于50%灰,藍色的飽和度就越高;顏色灰度值越接近50%灰,藍色的飽和度就越低。同時,亮調部分,即大于50%灰(色階值為128)表示黃色。顏色越亮,黃色飽和度越高,反之,越接近50%灰,黃色的飽和度越低。
彩度值C*(即飽和度)是描述色彩離開相同明度中性灰色程度的色彩感覺屬性,是主觀心理量。C*是由色度決定來體現顏色鮮艷程度的值,數值越大說明物體顏色越鮮艷即飽和度越高,反之則越暗淡。彩度在色度圖上以a*、b*為坐標點,在(0,60)區域內變化,彩度強弱體現在坐標點與原點連線的長度上。坐標點的位置越靠近原點即連線越短顏色中性灰度越強烈,顏色表現越暗,反之顏色飽和程度越大顏色越鮮艷。坐標點與原點的連線斜率越小顏色越紅,斜率越大越黃(以第一象限為例)。
色相H*(即色調)是指能夠比較確切地表示某種顏色色調的名稱。色彩的成分越多,其色相越不鮮明。色相從正橫坐標開始,以逆時針的方向偏轉,在(0°,360°)區域內變化(H*負值則為逆時針角度)。H*越接近0°表示顏色越靠近紅色,以紅色為0度(360 度);黃色為60度;綠色為120度;青色為180度;藍色為240度;品紅色為300度劃分。
色差儀L、a、b、c、h色差值表示方法:
色差就是指用數值的方式表示兩種顏色給人色彩感覺上的差別。若兩個色彩樣品都按L*、a*、b*標定顏色,則兩者之間單項色差及總色差總色差△E可用下列公式計算:
明度差:△L*=L*1-L*2
△L*>0表示樣品色比標準色淺,明度高;若△L*<0,說明樣品色比標準色深,明度低。
色度差:△a*=a*1-a*2
△a*>0表示樣品色比標準色偏紅;若△a*<0,說明樣品色比標準色偏綠。
色度差:△b*=b*1-b*2
△b*>0表示樣品色比標準色偏黃;若△b*<0,說明樣品色比標準色偏藍。
彩度差:△C*ab=C*ab,1-C*ab,2
△C*ab>0表示樣品色比標準色彩度高,含“白光”或“灰分”較少;若△C*ab<0,說明樣品色比標準色彩度低,含“白光”或“灰分”較多。
色相角差:△h*ab=h*ab,1-h*ab,2
△h*ab>0表示樣品色位于標準色的逆時針方向上;h*ab<0,說明樣品色位于標準色的順時針方向上。根據標準色所處的位置,就可以判斷樣品色是偏綠還是偏黃。
總色差:ΔE=[(ΔL*)2+(Δa*)2+(Δb*)2]1/2
△E(或△Eab)為總色差,表示色差偏移的方向,值越大,表明色差越大。
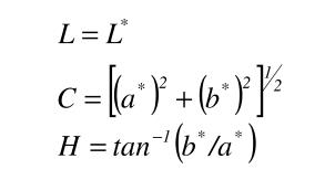
色差儀L、a、b、c、h值轉換公式:
CIELab色空間與視覺無直接對應,也就是說,當給出Lab一組值時,不能形象地想象出具體顏色。為此,我們經常采用由Lab空間變形后得到的圓柱形顏色空間LCH來表示,該顏色空間由L、C、H表示,其中L表示明度,取值0-100;C表示彩度,取值0-181;H(Hie)表示色相,取值0°-360°。LCH色彩空間是從CIELAB色彩空間推導出來的,一種顏色可以用LAB表示,也可以用LCH表示。采用LCH對圖像進行修正符合日常生活中對色彩進行描述的習慣,色彩修正更加便于理解、更加直觀和易于控制。CIELab顏色空間和CIELch顏色空間轉換關系式如下:

鄭重聲明:本文版權歸原作者所有,轉載文章僅為傳播更多信息之目的,如作者信息標記有誤,請第一時間聯系我們修改或刪除,多謝。



